Ответы
Ответ дал:
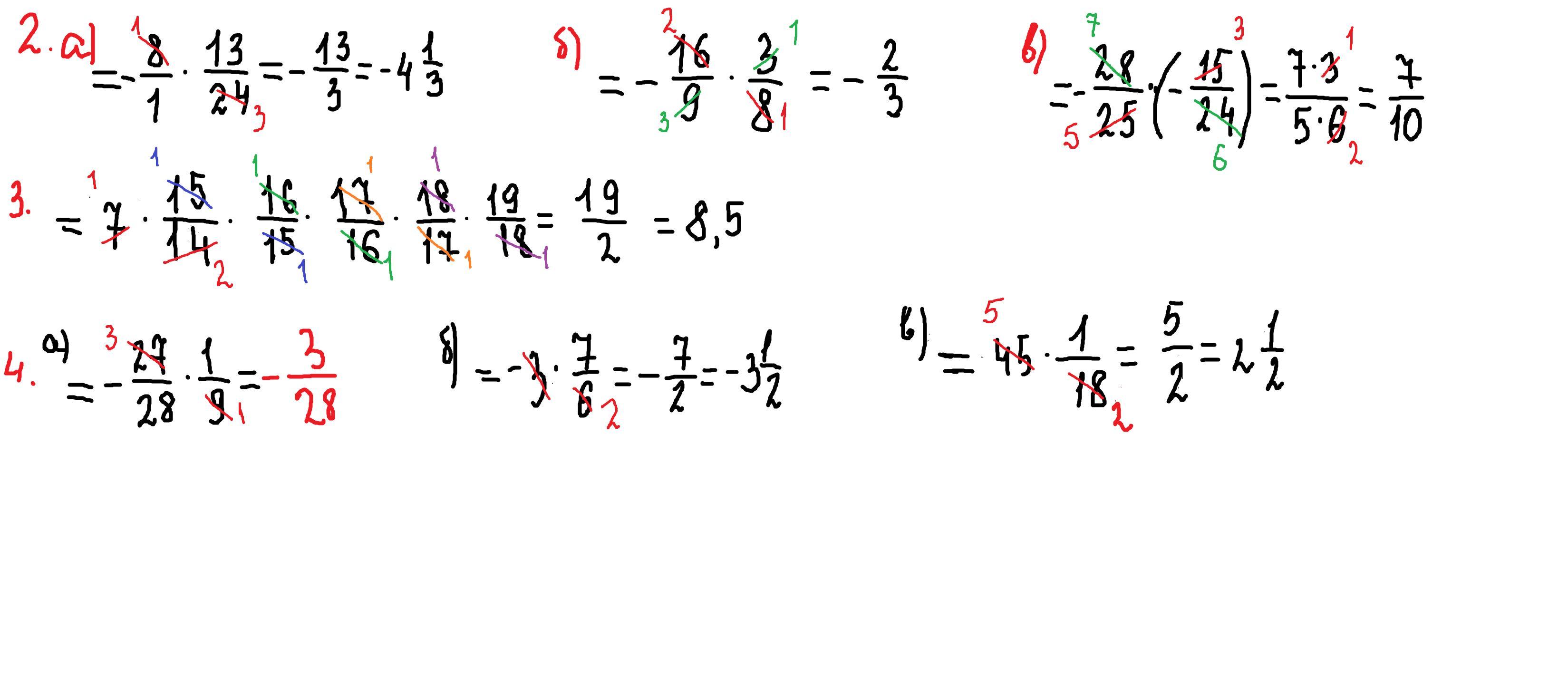
1
Ответ:
Пошаговое объяснение:
при умножении 6 отриц.чисел получаем положительное число
Приложения:

bobylevaelena745:
спасибо большое)
Вас заинтересует
2 года назад
3 года назад
8 лет назад
8 лет назад