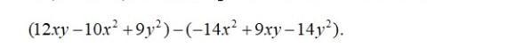
помогите пожалуйста найти разность многочленов
Приложения:

seva27032009:
У меня в профиле такое же задание, но там можно получить 10 баллов.
Ответы
Ответ дал:
2
Отметьте пожалуйста лучшим решением и поставьте сердечко
Приложения:

Вас заинтересует
2 года назад
2 года назад
3 года назад
3 года назад
8 лет назад
8 лет назад
9 лет назад