Даны векторы a→=(−7;−7;7), b→=(5;−1;7), c→=(8;−2;−9) и d→=(10;1;−1).
Вычисли координаты данных векторов:
a→−c→=
a→+b→−d→=
a→+b→−c→−d→=
Ответы
Ответ дал:
1
Ответ:
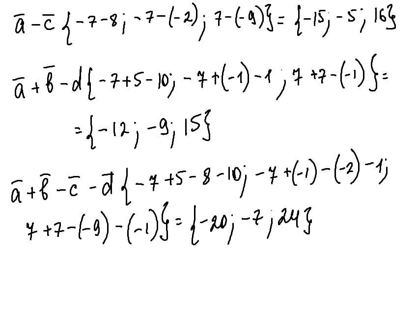
a-c(-15;-5;16)
a+b-d(-12;-9;15)
a+b-c-d(-20;-7;24)
Пошаговое объяснение:
а-с(-7-8;-7+2;7+9)
а-с(-15;-5;16)
a+b-d(-7+5-10;-7-1-1;7+7+1)
a+b-d(-12;-9;15)
a+b-c-d(-7+5-8-10;-7-1+2-1;7+7+9+1)
a+b-c-d(-20;-7;24)
LyubaLay:
Точно ?
Ответ дал:
0
Ответ:
см фото
Пошаговое объяснение:
Приложения:

Вас заинтересует
2 года назад
2 года назад
3 года назад
3 года назад
8 лет назад
9 лет назад
9 лет назад