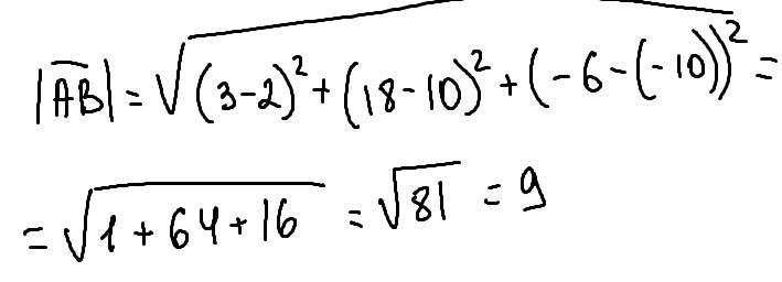
Вычисли длину вектора AB−→−, если даны точки A(2;10;−10) и B(3;18;−6).
Ответ: длина вектора равна
Ответы
Ответ дал:
2
Ответ:
см фото
Пошаговое объяснение:
Приложения:

LyubaLay:
спасибо
Вас заинтересует
2 года назад
2 года назад
3 года назад
3 года назад
8 лет назад
8 лет назад
9 лет назад