• Предмет: Математика
  • Автор: DippeRoma
  • Вопрос задан 8 лет назад

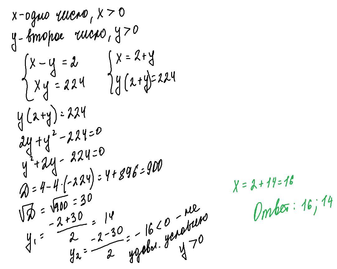
Разность двух целых положительных чисел равна 2, а их произведение равно 224.
Укажи эти числа.

Ответы

Ответ дал: 01lov03
1

Ответ:

см фото

Пошаговое объяснение:

Приложения:
Вас заинтересует