• Предмет: Алгебра
  • Автор: SoFaLiFe
  • Вопрос задан 7 лет назад

помогите, я не соображаю ._.

Приложения:

Ответы

Ответ дал: larisaserova53
2

Ответ:

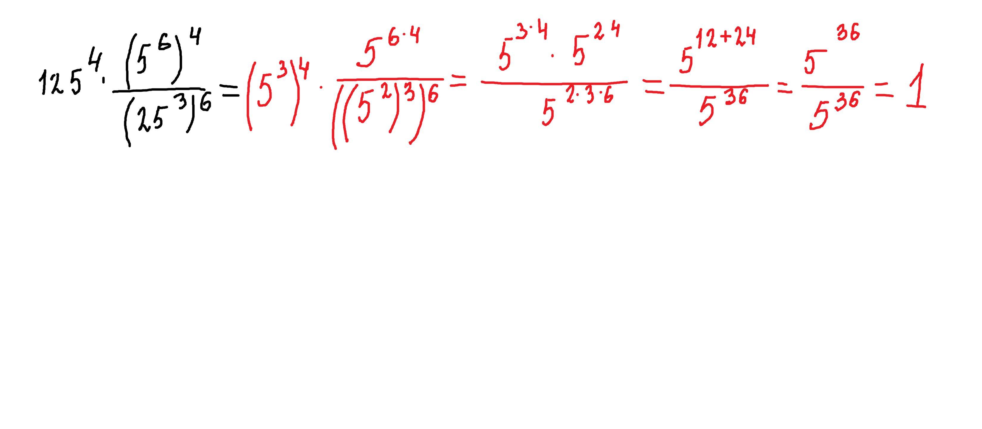
Смотри решение на фото..

Приложения:

larisaserova53: Все сделали с основанием 5
SoFaLiFe: спасибо огромное, у меня из-за одной ошибки всё неправильно пошло
larisaserova53: Понятно)))
Ответ дал: parus77
1

Ответ:

1

Объяснение:

при возведении степени в степень показатели перемножаются,при умножении степеней с одинаковыми основаниями показатели складываются.

Приложения:

polyyanguyen: сори, что сюда пишу, но не могли бы вы мне помочь?
Вас заинтересует