Ответы
Ответ дал:
1
Ответ:
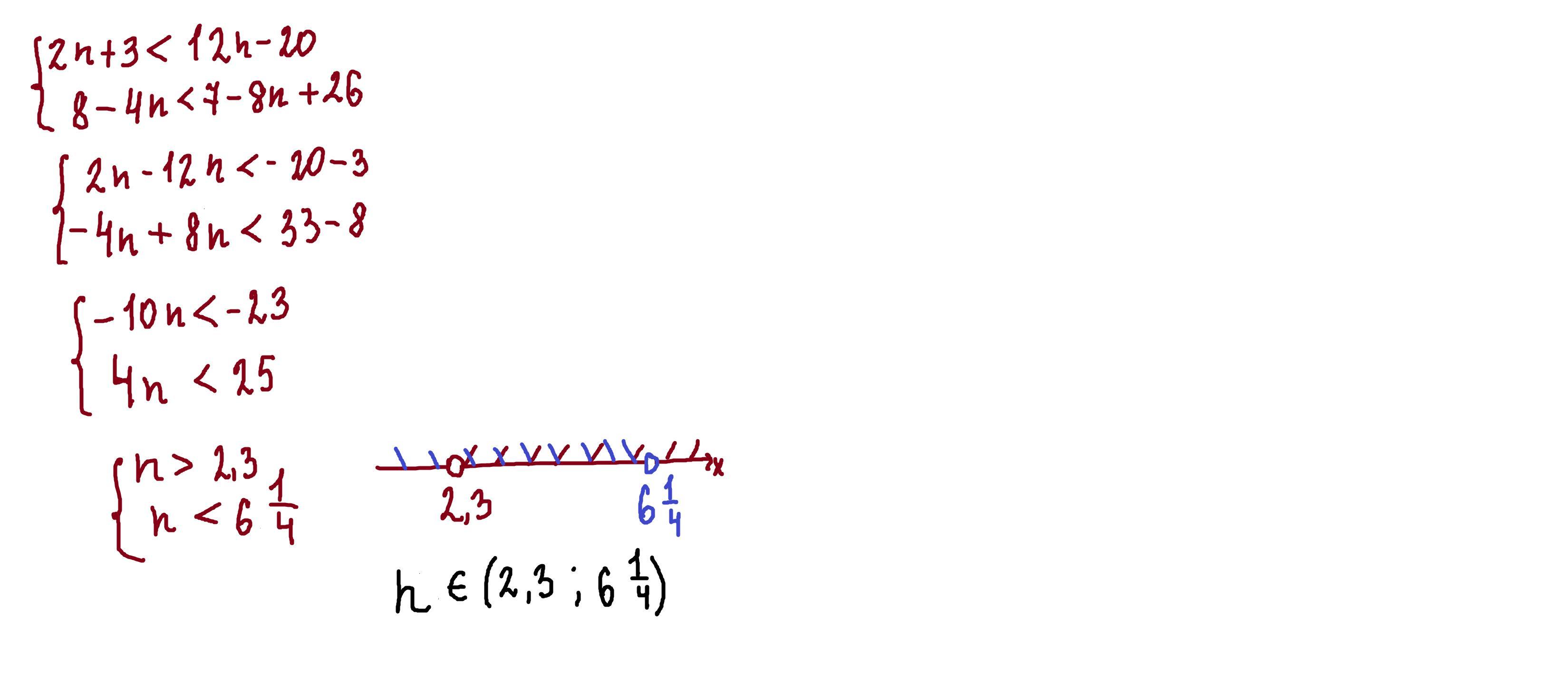
n є (2,3;6,25)
Объяснение:
............
Приложения:

polyyanguyen:
спасибо огромное!! если я сейчас скину еще одно такое же, вы сможете мне сделать?
Ответ дал:
1
Ответ:
n∈(2,3; 6 1\4)
Объяснение:
Приложения:

Вас заинтересует
2 года назад
3 года назад
8 лет назад