• Предмет: Алгебра
  • Автор: shukrona200849
  • Вопрос задан 7 лет назад

помогите пожалуйста

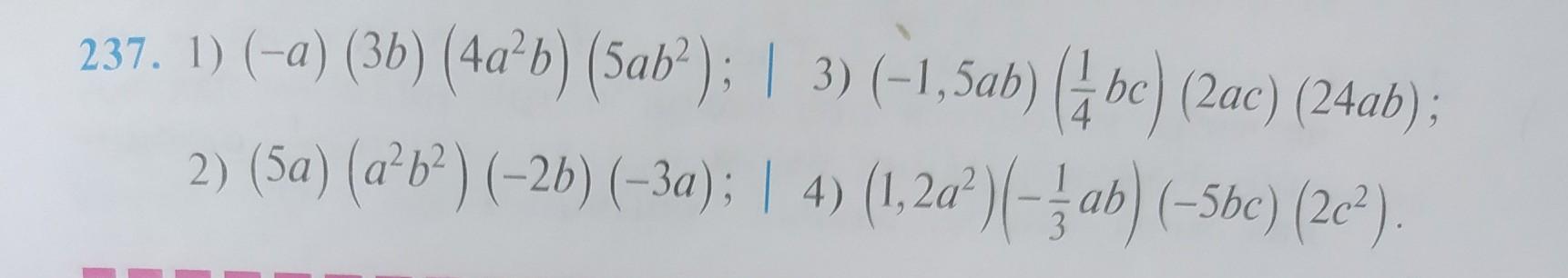
1) (-a)(3b)(4a²b)(5ab²)

2)(-1,5ab)(-1/4bc)(2ac)(24ab)

3)(5a)(a²b²)(-2b)(-3a)

4)(1,2a²)(-1/2ab)(-5bc)(2c²)



пожалуйста очень срочно если не понятно вот фото ​

Приложения:

Ответы

Ответ дал: lucifermud
4

Ответ:

1) -60a⁴b⁴

2) 30a⁴b³

3) -18a³b³c²

4) 4a²×ab×5bc×2c²=40a³b²c³


safarovevgeniy114: спрсибо большое
lucifermud: всегда пожалуйста!
redmixio0120: спасибо
Вас заинтересует