Срочно!
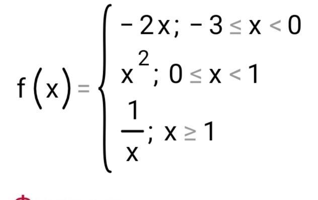
1)Найти D(f),
2)f(корень из 3/2), f(1), f(-3,5)
3)Построить график
4)Отметить промежутки монотонности
Приложения:

Ответы
Ответ дал:
0
Ответ:
Я честно не знаю
И тебе на вопросы не по алгебре 1-4 класс
Объяснение:
Вас заинтересует
2 года назад
2 года назад
3 года назад
3 года назад
8 лет назад