Ответы
Ответ дал:
1
Ответ:
Объяснение: (V -корень)
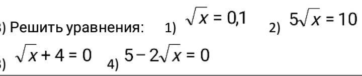
1) возведем обе части в квадрат, x=0,01
2) Vx =10/5, Vx=2, x=4
3) нет решения, т.к. Vx +4 >0 при любых х.
4) -2 Vx=-5, Vx=5/2, x=25/4
Ответ дал:
1
Ответ:
на картинке полное объяснение
Объяснение:
Приложения:

Вас заинтересует
2 года назад
2 года назад
3 года назад
3 года назад
8 лет назад
8 лет назад
9 лет назад