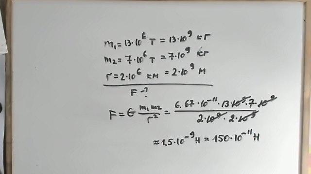
Рассчитай, с какой силой притягиваются друг к другу два астероида, массы которых равны 13 млн тонн и 7 млн тонн, если расстояние между ними составляет 2 млн км.
Ответ (округли до целого числа):
⋅10−11 Н.
Ответы
Ответ дал:
0
Ответ:
12245
Объяснение:
Приложения:

Вас заинтересует
2 года назад
2 года назад
3 года назад
3 года назад
8 лет назад
9 лет назад