• Предмет: Алгебра
  • Автор: Аноним
  • Вопрос задан 7 лет назад

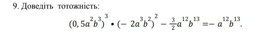
доведіть тотожність
помогите ​в росписаном виде

Приложения:

Ответы

Ответ дал: Universalka
1

\displaystyle\bf\\(0,5a^{2} b^{3} )^{3} \cdot(-2a^{3} b^{2})^{2} -\frac{3}{2} a^{12} b^{13} =\frac{1}{8}a^{6} b^{9} \cdot4a^{6} b^{4} -\frac{3}{2} a^{12}b^{13} =\\\\\\=\frac{1}{2} a^{6+6}b^{9+4 } -\frac{3}{2} a^{12} b^{13} = \frac{1}{2} a^{12} b^{13} -\frac{3}{2} a^{12} b^{13} =-a^{12} b^{13} \\\\\\- a^{12} b^{13} =- a^{12} b^{13}

Что и требовалось доказать

Вас заинтересует