• Предмет: Математика
  • Автор: nurgisievar
  • Вопрос задан 7 лет назад

Пожалуйста)
решите задачу с условием и решением, и тонны там где типо и минуты (там не только они) ​

Приложения:

nurgisievar: и мне никто не поможет?

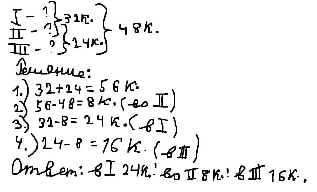
Ответы

Ответ дал: logashovroman08
0

Ответ: Всё на скрине

                                                         

Приложения:

logashovroman08: вот для десятого: https://www.calc.ru/perevod-velichin.html
Вас заинтересует