• Предмет: Геометрия
  • Автор: Lanaloud
  • Вопрос задан 7 лет назад

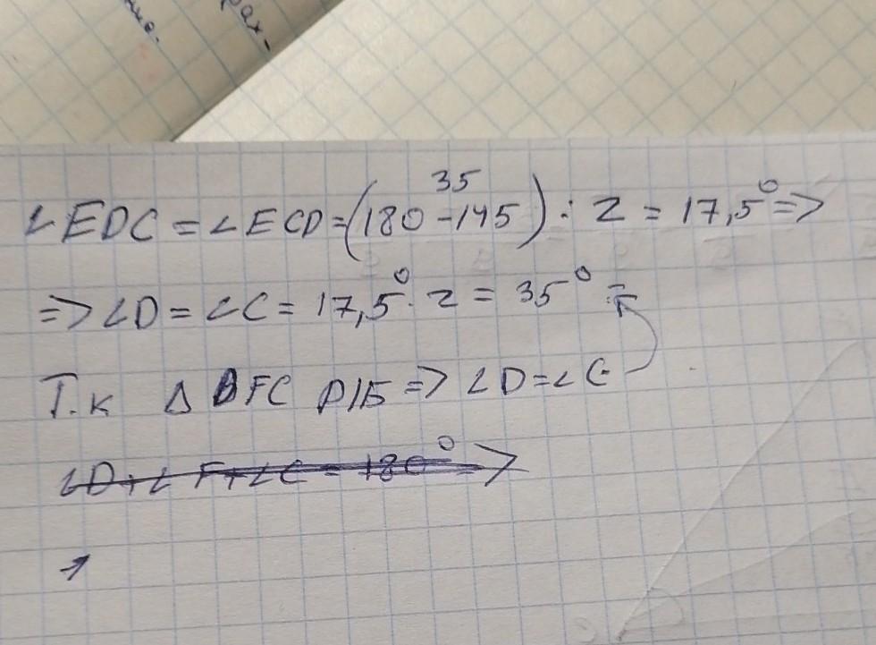
DEC 145 ✌️✌️ПОМОГИТЕ

Приложения:

Lanaloud: Срочно
Lanaloud: Сдаю работу через 20 мин
Lanaloud: Если не сделаю получи 3
Lanaloud: Спасите
Lanaloud: Плиз
andrewmxdvs: оцените, если не сложно)
Lanaloud: Он 145

Ответы

Ответ дал: anastasiakarapetan3
0

Ответ:

угол CDF равен 35..........

Приложения:
Вас заинтересует