Ответы
Ответ дал:
1
Пошаговое объяснение:
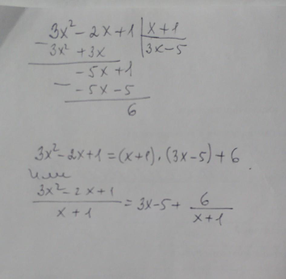
решение во вложении...
Приложения:

Вас заинтересует
2 года назад
3 года назад
3 года назад
8 лет назад
8 лет назад