Помогите пожалуйста срочно до конца дня дам много балов буду благодарна все задания обведены
Приложения:
                    
                            
                    Elena3982:
                    4. 108:3•4=144 га
                
            
                    
                    2. 180:9•5=100(стр)- прочитав 180-100=80(стр) залишилось прочитати
                
            
                    
                    Там в первом в г) 4 1/6 : 1 3/7 просто плохо видно
                
            
                    
                    Спасибо огромное
                
            
                    
                    Знайдіть 2/3 від числа 15  15:3•2=10
                
            
                    
                    Поки що перепиши десь на папір ці завдання.
                
            
                    
                    Я тобі добавила вираз.
                
            Ответы
                                            Ответ дал: 
                                                                                    
                                        
                                            
                                                
                                                
                                                
                                                    1
                                                
                                            
                                        
                                    Пошаговое объяснение:
Тримай поки що це......
Приложения:
                    
                            
                            
                            
                            
                            
                    
                    Ти зможеш розібратися де яке завдання?
                
            
                    
                    Так
                
            
                    
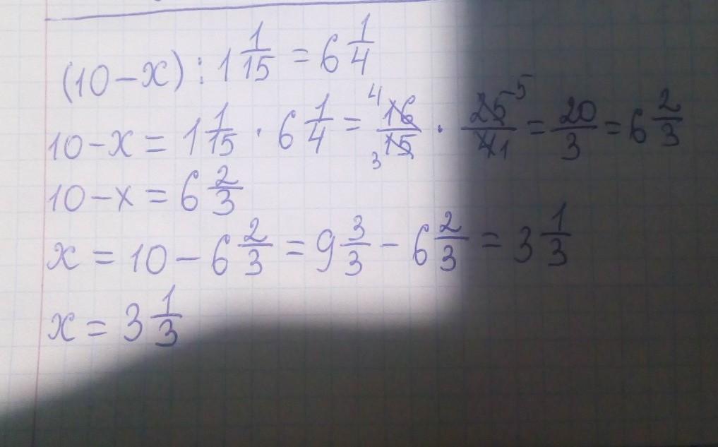
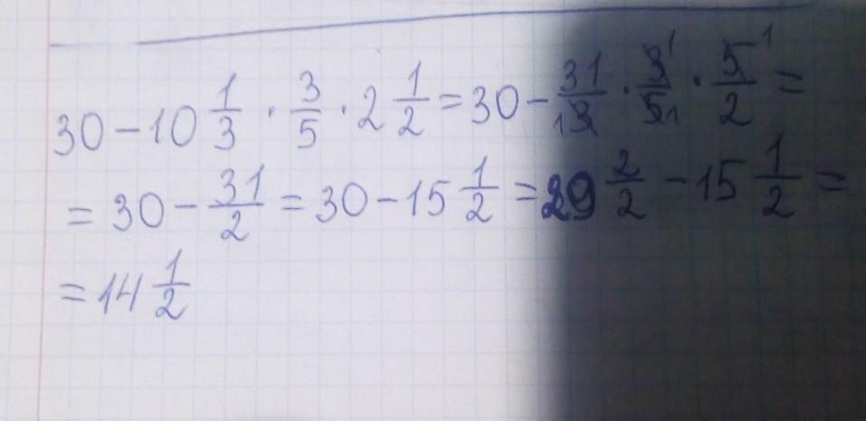
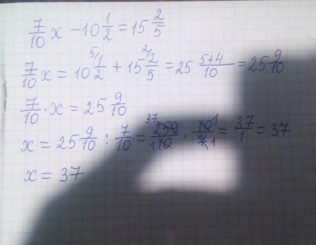
                    Я не бачу задачу високого рівня.Рівняння я тобі зробила всі.
                
            
                    
                    Дякую велике (в тебе гарний почерг) 
                
            
                    
                    Я так не думаю.))))Але дякую.)
                
            
                    
                    Задачу сама зробити зможеш? А то я половину тільки бачу.
                
            
                    
                    Вона з високого рівня.
                
            
                    
                    Продовження задачі: прочитав 7/12 усіх сторінок а 2 і 3 день — 2/3 усіх сторінок. Скільки сторінок прочитав учень
                
            
                    
                    Не зможу 
                
            
                    
                    *Скільки учень прочитував щодня*
                
            Вас заинтересует
                
                        2 года назад
                    
                
                        2 года назад
                    
                
                        3 года назад
                    
                
                        3 года назад
                    
                
                        8 лет назад
                    
                
                        8 лет назад
                    
                
                        9 лет назад