• Предмет: Алгебра
  • Автор: kagirovalada
  • Вопрос задан 7 лет назад

ПОМОГИТЕ ПОЖАЛУЙСТА, СРОЧНО НАДО

Приложения:

Ответы

Ответ дал: dishiko
0

Ответ:

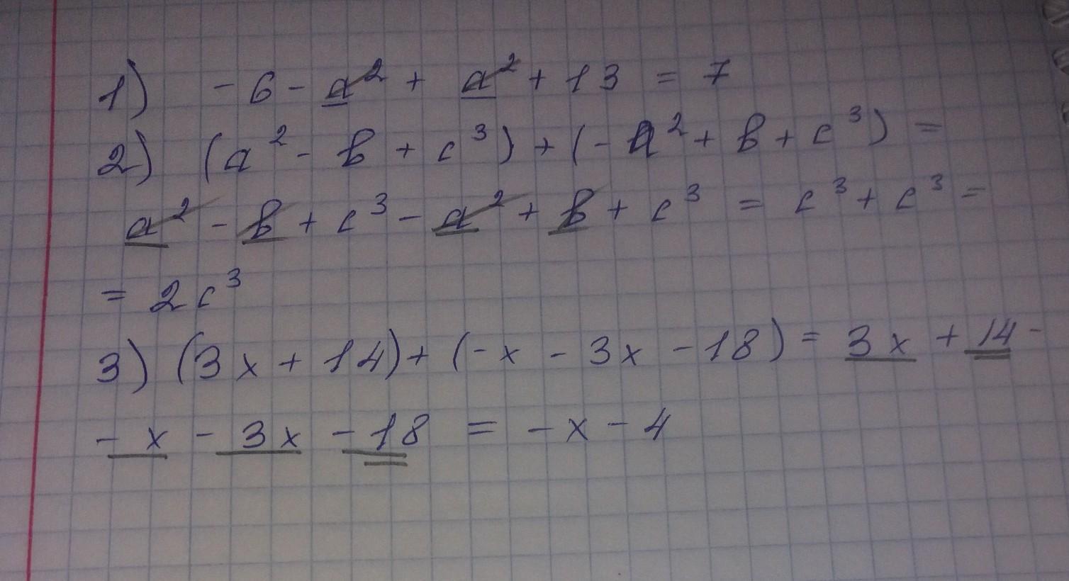
1) 7

2) 2с^3

3)-х-4

Объяснение:

Объяснение на фотографии

Приложения:
Вас заинтересует