• Предмет: Математика
  • Автор: berezinlena9
  • Вопрос задан 7 лет назад

Пж помогите я дам 100 балов

Приложения:

Ответы

Ответ дал: DJumper
1

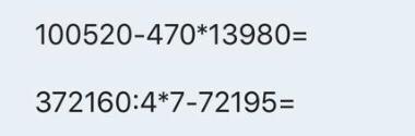
1) 100520-470*13980= -6470080

 1. -470*13980= -6570600

 2. 100520-6570600= -6470080

2) 372160:4*7-72195=579085

  1. 372160:4=93040

  2.93040*7=651280

  3. 651280-72195=579085

Ответ дал: GolubUruru
0

Ответ:

1) 10052-470*13980=-6470080

2) 372160:4*7-72195=579085

Вас заинтересует