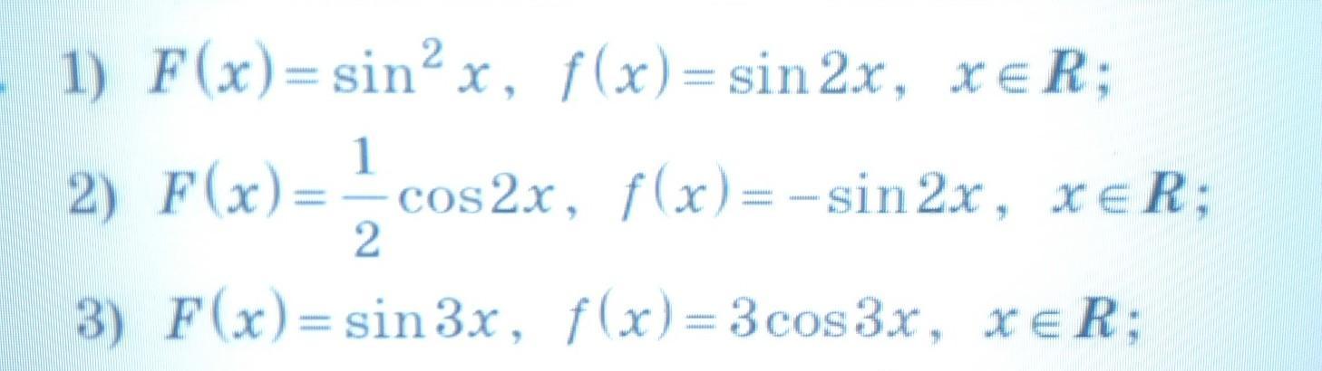
совпадает ли f(x) с F(x)
Приложения:

AlexGamer11:
по возможности распишите пожалуйста, чтобы я разобрал как это делается
Ответы
Ответ дал:
0
Ответ:
Объяснение:
1) ∫sin2xdx=-(1/2)cos2x+с не совпадает
2) ∫sin2xdx=(1/2)cos2x+с совпадает
3) ∫3cos3xdx=3(1/3)sin3x=sin3x+с совпадает
Вас заинтересует
2 года назад
3 года назад
3 года назад
8 лет назад
8 лет назад