• Предмет: Алгебра
  • Автор: ferinor981
  • Вопрос задан 8 лет назад

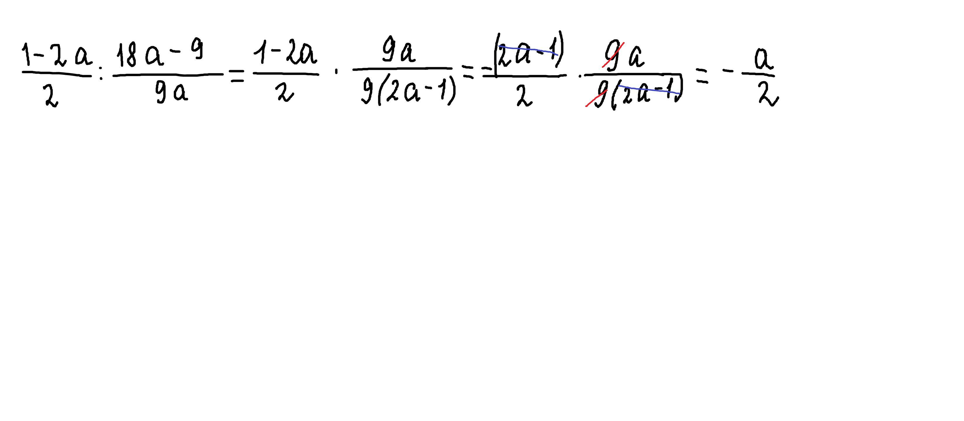
Выполни деление алгебраических дробей:

Приложения:

Ответы

Ответ дал: parus77
2

Ответ:

- а\2

Объяснение:

решение внизу

Приложения:
Вас заинтересует