Ответы
Ответ дал:
1
Ответ:
Объяснение:
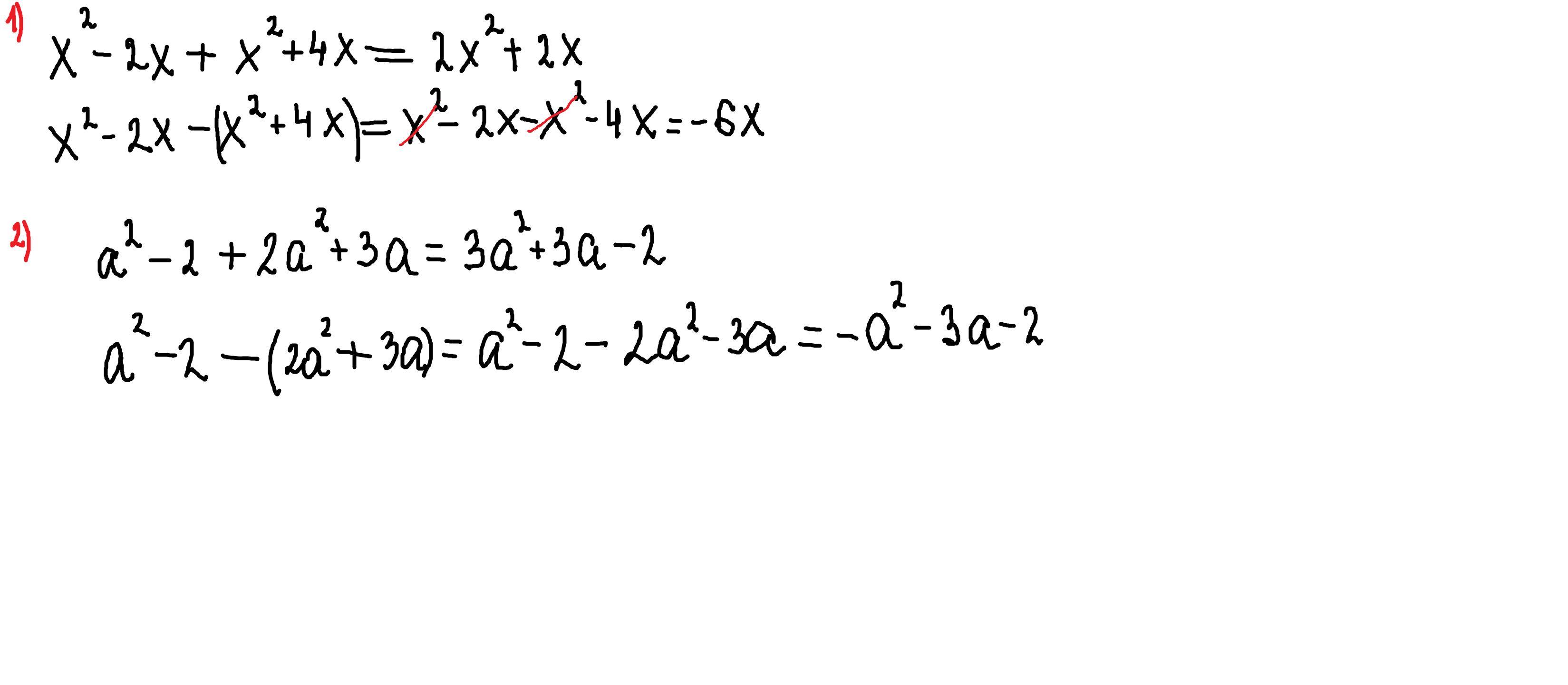
решение смотри внизу
Приложения:

Аноним:
а то что красным зачеркнуто тоже писать?
Вас заинтересует
2 года назад
2 года назад
3 года назад
3 года назад
8 лет назад
8 лет назад
9 лет назад
9 лет назад