• Предмет: Алгебра
  • Автор: katerinakravhenya
  • Вопрос задан 8 лет назад

ПОМОГИТЕ ПОЖАЛУЙСТА!!!

Приложения:

Ответы

Ответ дал: olgaua64
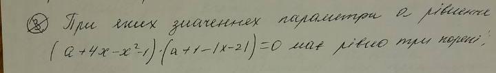
1

Відповідь:

а=-1

Пояснення:

Добуток дорівнює 0, коли один з доданків дорівнює 0

а+4х-х²-1=0 ∨ а+1-|х-2|=0

х=2±√(4-(1-а)) ∨ а+1=|х-2|

х=2±√(3+а)) ∨ а+1=|х-2| →а≥-1

Якщо а≥-1, то квадратний тричлен має два корені, а модуль має один корінь лише тоді, коли він дорівнює нулю, отже а+1=0 → а=-1


katerinakravhenya: Спасибо огромнейшее)
katerinakravhenya: А что значит этот знак "∨"?
olgaua64: Или, або
Вас заинтересует