• Предмет: Алгебра
  • Автор: Yashinayaleriya
  • Вопрос задан 7 лет назад

Найти область определения функции!!

Приложения:

Ответы

Ответ дал: GoldmanYT
0

Ответ:

1) D(f): (-∞; +∞)

3) D(f): [3; +∞)

5) D(f): (-∞; -3] ⋃ [3; +∞)

7) D(f): (-∞; 5) ⋃ (5; +∞)

Объяснение:

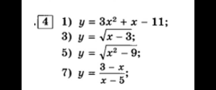
1) y = 3x² + x - 11

D(f): (-∞; +∞)

3) y = √(x - 3)

D(f): x - 3 ⩾ 0

x ⩾ 3

D(f): [3; +∞)

5) y = √(x² - 9)

D(f): x² - 9 ⩾ 0

(x - 3)(x + 3) ⩾ 0

D(f): (-∞; -3] ⋃ [3; +∞)

7) y = (3 - x) / (x - 5)

D(f): x - 5 ≠ 0

x ≠ 5

D(f): (-∞; 5) ⋃ (5; +∞)

Вас заинтересует