• Предмет: Алгебра
  • Автор: rcrmp777
  • Вопрос задан 7 лет назад

Помогите пожалуйста решить пример ниже!!!

(√2^{2} * √2^{2} )^{2}

Ответы

Ответ дал: dimonchop
1
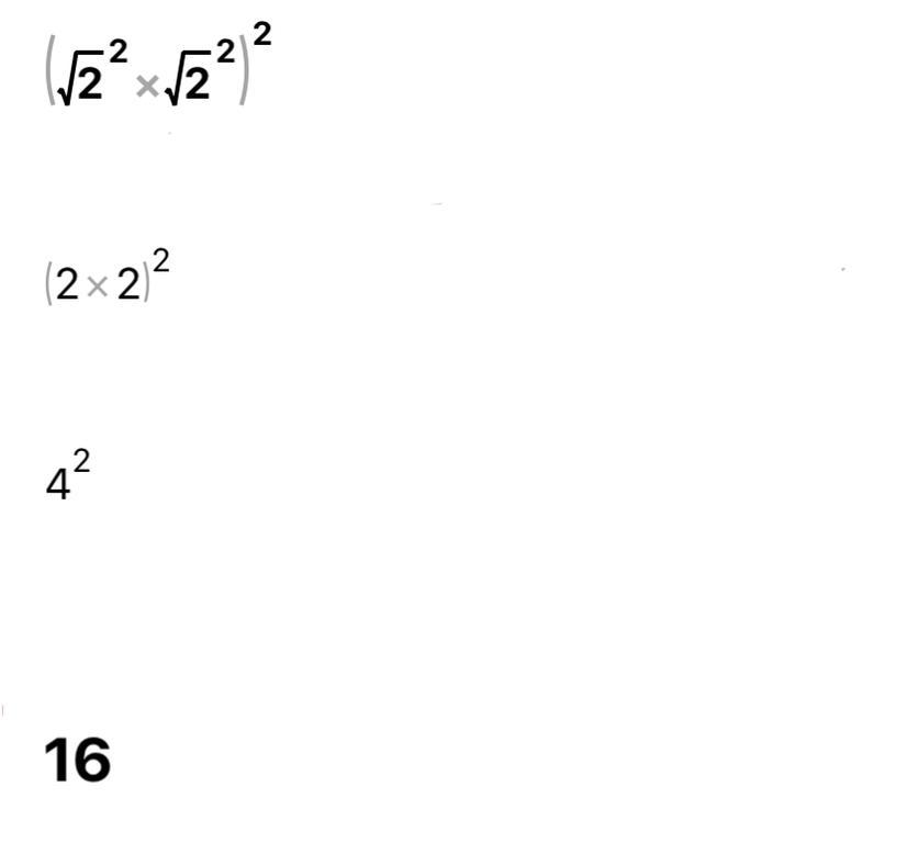
Ответ будет 16, ответ оставмо ниже!!!
Приложения:

dimonchop: Оставил*
P.s. Т9
Ответ дал: rigos3700
1
Ответ на пример - 16!!!
Вас заинтересует