• Предмет: Математика
  • Автор: purplemonika22
  • Вопрос задан 7 лет назад

помогите пожалуйста. срочно!((​

Приложения:

Ответы

Ответ дал: Reshal0
0

Ответ:

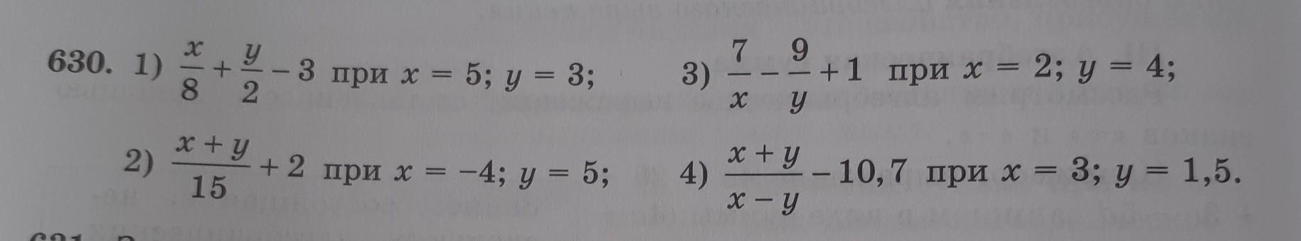
1)  \frac{5}{8}  +  \frac{3}{2}  - 3 =  -  \frac{7}{8}

2) \frac{ - 4 + 5}{15}  + 2 =  \frac{31}{15}  = 2 \frac{1}{15}

3) \frac{7}{2}  -  \frac{9}{4}  + 1 =  \frac{9}{4}  = 2 \frac{1}{4}

4) \frac{3 + 1.5}{3 - 1.5}  - 10.7 =   - \frac{77}{10}   =  - 7 \frac{7}{10}

Ответ дал: yaktooooooooooo
0

Ответ:

Пошаговое объяснение:

Приложения:

yaktooooooooooo: Нажми,пожалуйста на лучший ответ,я старалась.
Вас заинтересует