• Предмет: Алгебра
  • Автор: maxim190108
  • Вопрос задан 8 лет назад

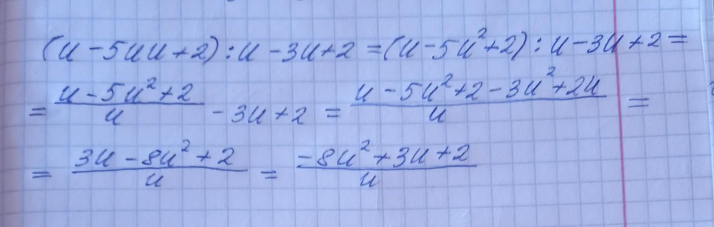
Спрости вираз: (u−5uu+2):u−3u+2​

Ответы

Ответ дал: gerinadana662
0

Ответ:

смотри на фото с решением

Приложения:
Вас заинтересует