• Предмет: Математика
  • Автор: ayima7777
  • Вопрос задан 7 лет назад

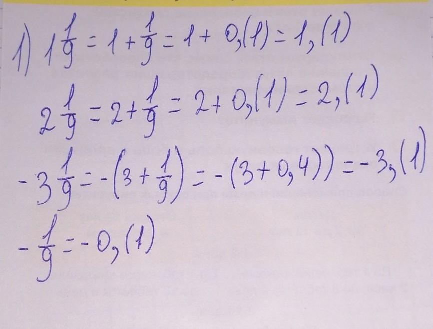
574. Выразите в виде десятичной периодической дроби числа, вычислите до третьего разряда​

Приложения:

Ответы

Ответ дал: olesya0212
10

Ответ:

Ответ на фото

Пошаговое объяснение:

Прости, я знаю только 1 сама 2 ищу

Приложения:

tahminaalieva556: А где 2
tahminaalieva556: А тоу 1 правильное
Аноним: спасибо
kamrakulovaparvina20: пж второе
kamrakulovaparvina20: пжж срочно
Вас заинтересует