• Предмет: Алгебра
  • Автор: prostozdyn
  • Вопрос задан 7 лет назад

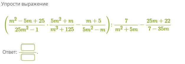
упростить выражение:

(m^2-5m+25/25m^2-1 * 5m^2+m/m^3+125 - m+5/5m^2-m): 7/m^2+5m - 25m+22/7-35m


помогите пожалуйста, срочно нужно!!

Приложения:

Ответы

Ответ дал: ostapsushitsky
1

Ответ:

3/7

Объяснение:


prostozdyn: спасибо большое!!
Вас заинтересует