• Предмет: Алгебра
  • Автор: Denchuk9
  • Вопрос задан 8 лет назад

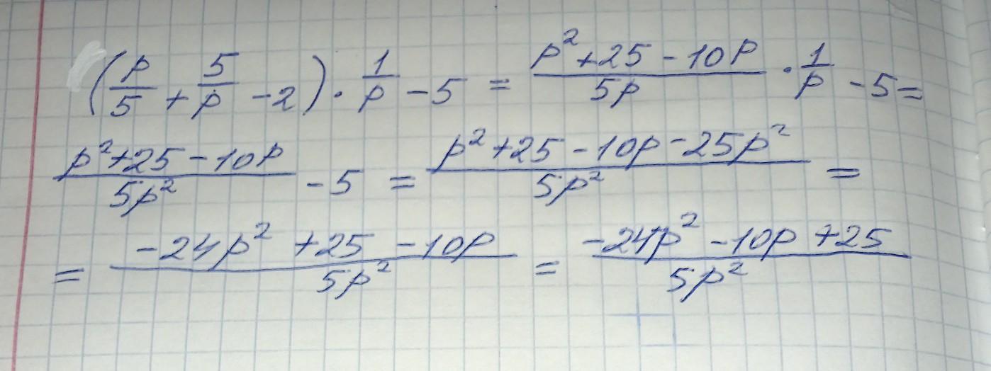
спростити вираз ( р/5 +5/р -2)×1/р-5

Ответы

Ответ дал: gerinadana662
0

Ответ:

смотри на фото с решением

Приложения:
Вас заинтересует