• Предмет: Алгебра
  • Автор: artemlyzgin432
  • Вопрос задан 7 лет назад

решение срочно пожалуйста​

Приложения:

Ответы

Ответ дал: Evgenia4836
1

Ответ:

Объяснение:

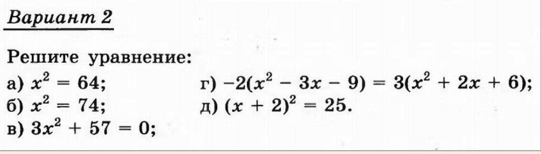
а) x1=-8

x2=8

б) x1=-√74

x2=√74

в) нет решений, так как x^2 не может равняться отрицательному числу

г) -2x²+6x+18-3x²-6x-18=0

-5x²=0

x=0

д) (x+2+5)(x+2-5)=0

(x+7)(x-3)=0

x1=-7

x2=3

Ответ дал: bilivam100
0

Ответ:

а) х=±8;

б) х=±√74;

в) решений нет;

г) х=0;

д) х₁=3, х₂=-7.

Объяснение:

а) х=±8

б) х=±√74;

в) 3(х²+19)=0, х²+19=0, х²=-19, решений нет

г) -2х²+6х+18=3х²+6х+18,

-2х²+6х+18-3х²-6х-18=0,

-5х²=0,

х=0.

д) x+2=5 или х+2=-5,

х₁=3,                х₂=-7

Вас заинтересует