• Предмет: Алгебра
  • Автор: user123789
  • Вопрос задан 7 лет назад

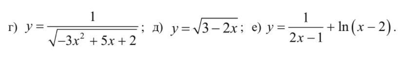
Найти область определения функций:

Приложения:

Ответы

Ответ дал: NNNLLL54
0

Ответ:

г)  Знаменатель дроби не равен 0 и подкоренное выражение неотрицательно .

y=\dfrac{1}{\sqrt{-3x^2+5x+2}}\ \ \Rightarrow \ \ \ -3x^2+5x+2>0\ \ ,\ \ 3x^2-5x-2<0\ ,\\\\\\3x^2-5x-2=0\ ,\ \ D=25+24=49\ ,\ x_1=-\dfrac{1}{3}\ ,\ x_2=2\\\\3(x+\frac{1}{3})(x-2)<0\\\\znaki:\ \ +++(-\frac{1}{3})---(2)+++\\\\x\in \Big(-\dfrac{1}{3}\ ;\ 2\ \Big)

д)  Подкоренное выражение неотрицательно .

  y=\sqrt{3-2x}\ \ \ \Rightarrow \ \ \ 3-2x\geq 0\ \ ,\ \ 2x-3\leq 0\ \ ,\ \ 2x\leq 3\ \ ,\ \ x\leq 1,5\\\\x\in (-\infty ;\ 1,5\ ]

е)  Выражение под знаком логарифма строго больше 0, знаменатель дроби не равен 0 .

y=\dfrac{1}{2x-1}+ln\, (x-2)\ \ \ \Rightarrow \ \ \ \left\{\begin{array}{l}2x-1\ne 0\\x-2>0\end{array}\right\ \  \left\{\begin{array}{l}2x\ne 1\\x>2\end{array}\right\ \  \left\{\begin{array}{l}x\ne 0,5\\x>2\end{array}\right\\\\\\x\in (\ 2\ ;+\infty \, )

Вас заинтересует