• Предмет: Алгебра
  • Автор: Аноним
  • Вопрос задан 8 лет назад

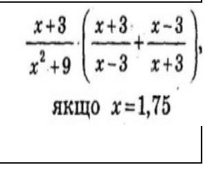
знайдіть значення виразу; помогите пожалуййййййста



Приложения:

Ответы

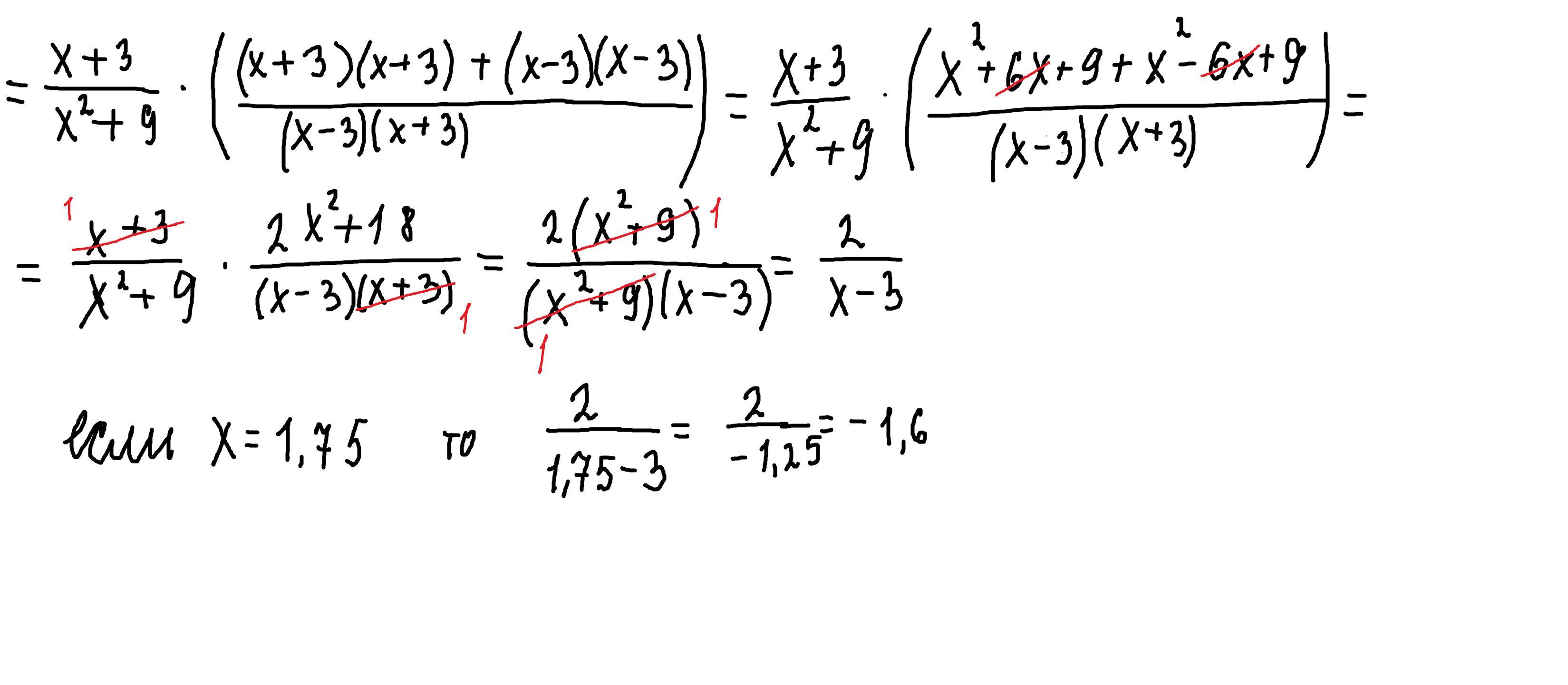
Ответ дал: parus77
2

Ответ:

Объяснение:

решение внизу

Приложения:

parus77: извини,но я только зашла на сайт.
Вас заинтересует