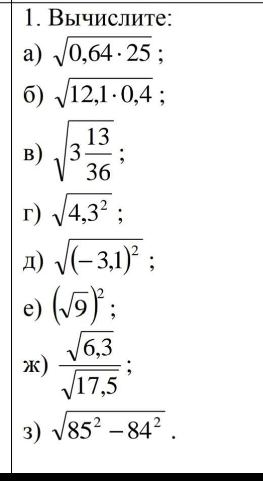
Ответы
Ответ дал:
0
::::::::::Объяснение:::::::::::
Приложения:

Аноним:
емааа пеппер не думал что ты ответишь спасибо большое за помощь
Вас заинтересует
2 года назад
3 года назад
3 года назад
8 лет назад
8 лет назад
9 лет назад