• Предмет: Алгебра
  • Автор: MashaKov08
  • Вопрос задан 7 лет назад

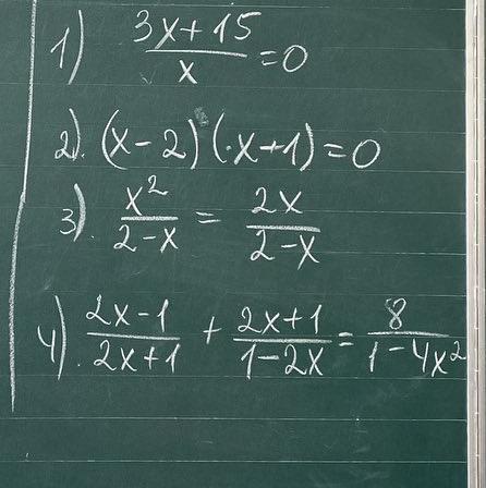
Алгебра 8 класс!!! Пожалуйста. Мне очень нужно

Приложения:

Ответы

Ответ дал: bertramjeratire
1

Ответ:

Все ответы на фото, то что замазано на третьем не надо писать, это я ошибся

Приложения:

MashaKov08: Спасибо большое
Вас заинтересует