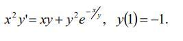
Найти общее решение или общий интеграл дифференциального уравнения. Решить задачу Коши.
Приложения:

Ответы
Ответ дал:
1
Ответ:
helpman291818eplz:
Доброго времени суток, прошу помочь мне с заданием по теории вероятности, буду благодарен.
Вас заинтересует
2 года назад
2 года назад
3 года назад
3 года назад
8 лет назад