• Предмет: Математика
  • Автор: lilyanaAvd
  • Вопрос задан 7 лет назад

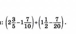
Помогите решить пожалуйста!!! Срочно!!! Математика 6 класс

Приложения:

Ответы

Ответ дал: DiRaNs
1

Ответ:

2,05

Пошаговое объяснение:

(2 3/5-1 7/10)+(1 1/2-7/20)=(2,6-1,7)+(1,5-0,35)=0,9+1,15=2,05

Вас заинтересует