• Предмет: Математика
  • Автор: lilyanaAvd
  • Вопрос задан 7 лет назад

Помогите пожалуйста!! Срочно!!! Математика 6 класс!!!!

Приложения:

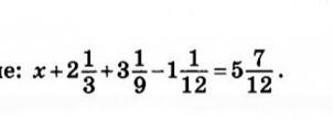
evvoronina1: х + 2. 1/3 + 3. 1/9 - 1. 1/12 = 5. 7/12
х + 2. 12/36 + 3. 4/36 - 1. 3/36 = 5. 21/36
х + 5. 16/36 - 1. 3/36 = 5. 21/36
х + 4. 33/36 = 5. 21/36
х = 5. 21/36 - 4. 33/36
х = 4 + 36/36 + 21/36 - 4. 33/36
х = 4 + 57/36 - 4 - 33/36
х = 24/36
х = 2/3

Ответы

Ответ дал: EgorSerd
0

Ответ:

X+2 1/3 + 3 1/9 - 1 1/12= 5 7/12

делаем все возможные действия

2 1/3 + 3 1/9 - 1 1/12 = 4 12+4+3/36 = 4 19/36

X+4 19/36= 5 7/12

X=5 7/12- 4 19/36 = 1 21-19/36= 1 2/36

X=1 2/36

Пошаговое объяснение:

Вас заинтересует