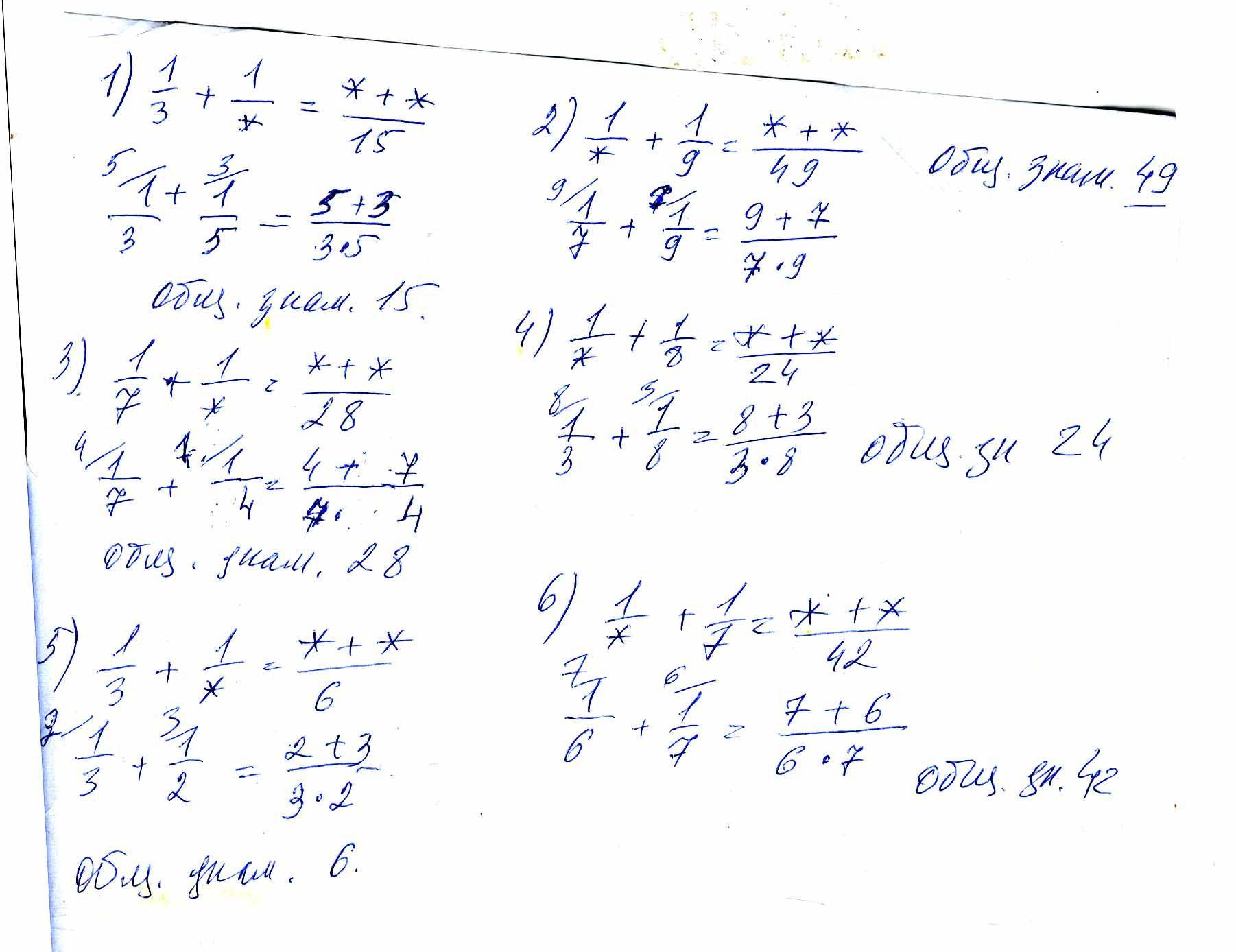
511. Найдите сумму дробей, знаменатели которых являются вааимно простыми числами: 1 * * * 1 1 + + + 1 1 4 1) . 3) 5) 3 15 7 8 6 5) 1 1 1 1 1 + 2) 6) 9 8 24 7
срочно и с объяснением пожалуйста
Приложения:

Ответы
Ответ дал:
2
Ответ:
см ниже
Пошаговое объяснение:
решение на фото
Приложения:

Аноним:
спасибо
Вас заинтересует
2 года назад
2 года назад
3 года назад
3 года назад
8 лет назад
8 лет назад
9 лет назад
9 лет назад