• Предмет: Математика
  • Автор: polina023289
  • Вопрос задан 7 лет назад

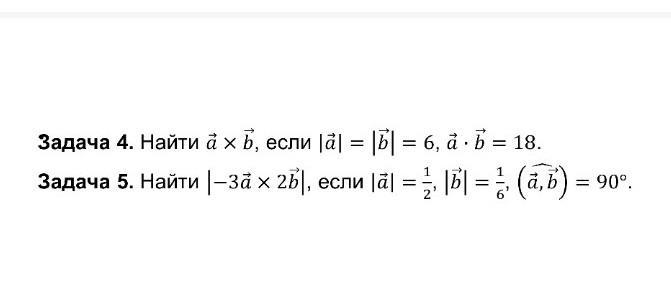
Пожалуйста! Как делать?​

Приложения:

Ответы

Ответ дал: wamuratovjohongir
0

Ответ:

открой книгу последний страницу.

там ответы есть.


polina023289: как книга называется?
wamuratovjohongir: ты какой класс?
polina023289: студент 1-го курса, лол
wamuratovjohongir: математика 1-го курса
polina023289: это книга? автор кто?
wamuratovjohongir: точно не знаю много такие книги
polina023289: не нашла
wamuratovjohongir: Искай по библиотеке скажи ответы математике 1-го курса
Вас заинтересует