• Предмет: Физика
  • Автор: novaisegames
  • Вопрос задан 7 лет назад

Помогите решить
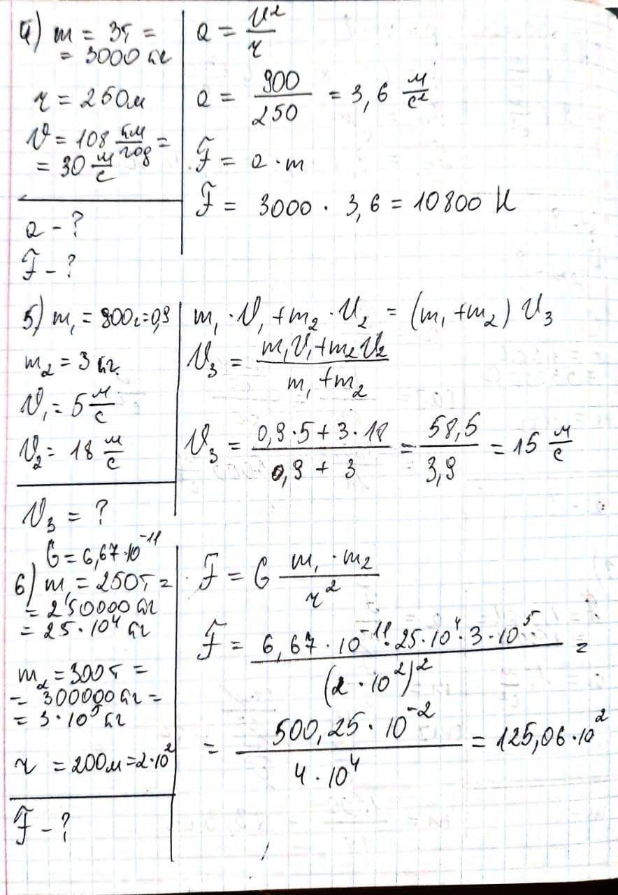
Нужно решить 1-6 задания
Решите хотя-бы пару заданий

Приложения:

Ответы

Ответ дал: bogrom911
0

Ответ:

Объяснение:

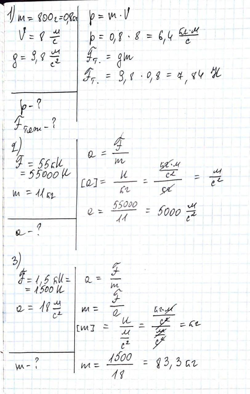
1

p = mv = 0,800 кг * 8 м/с = 6,4 кг*м/с

Ek = mv^2/2 = 0,8 * 8^2/2 = 25,6 Дж

Fт = mg = 0,8 *10 = 8 Н

2

a = F/m = 55 000 H / 11 кг = 5000 м/с2 = 5 км/с2

3

m = F/a = 1500 H / 18 м/с2 = 83,333 кг = 83 333 г


bogrom911: на тройку сдашь - списывай
Ответ дал: wwwvasilashhuk
0

Ответ: ,,,,,,,,,,,,,,,,,,,,,,,,,,,,,,,,,,,,,,,,,,,,,,,,,,,,,,,,,,,,,,,,

Объяснение:

Приложения:
Вас заинтересует