• Предмет: Алгебра
  • Автор: vladstarikov713
  • Вопрос задан 7 лет назад

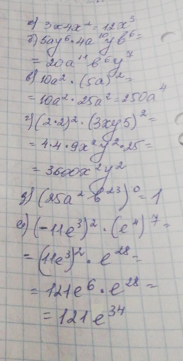
Приведите одночлен к стандартному виду:
А) 3х4х²
Б)5ау 6степень * 4а 10степень у b 6степень
В)10а² * (5а)²
Г) (2х2)² * (3ху5)²
Д)( 25а²b²³)0 степень
Е)(-11е³)² * (е⁴) 7степень
СРОЧНО​

Приложения:

Ответы

Ответ дал: larisaserova53
2

Ответ:

Смотри решение на фото..

Приложения:

Аноним: Здравствуйте вы не могли бы вы мне помочь с алгеброй пожалуйста умоляю
larisaserova53: задания по алгебре нет в профиле не решенного!
Вас заинтересует