як обчислити cos315*
і як обчислити tg225*
ПОМОЖІТЬ ПЖ ДУЖЕ СРОЧНО!!!!
Elena3982:
Что это за звёздочка возле цифр?
Ответы
Ответ дал:
0
Пошаговое объяснение:
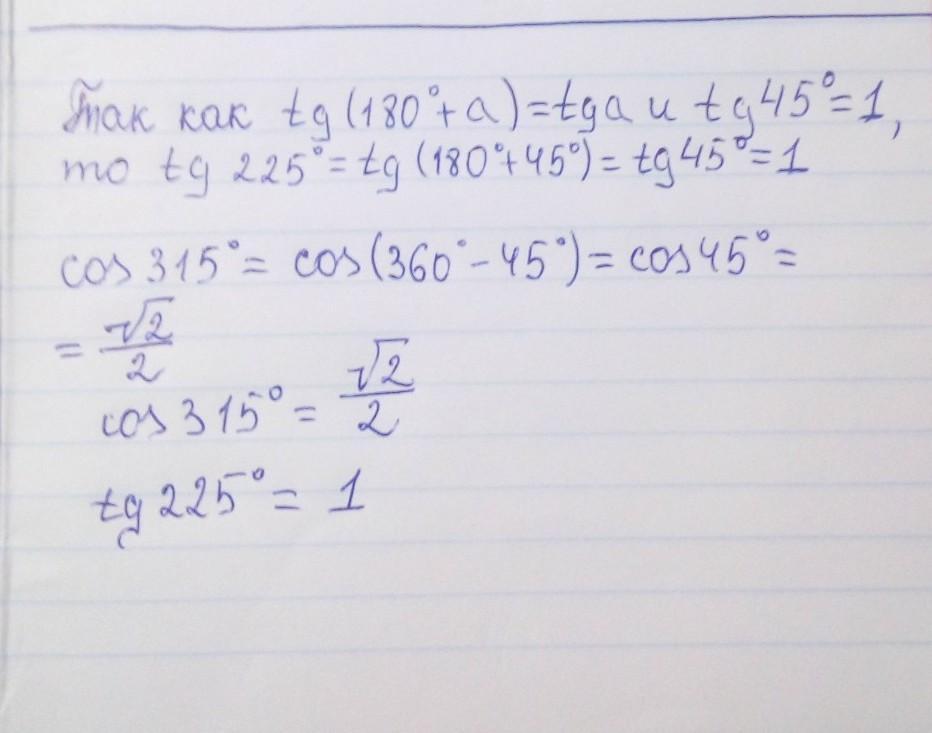
Ось тобі відповідь.......
Приложения:

Вас заинтересует
2 года назад
2 года назад
3 года назад
3 года назад
8 лет назад
9 лет назад