• Предмет: Математика
  • Автор: lina1721
  • Вопрос задан 7 лет назад

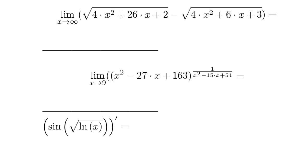
Помогите решить 3 задачи

Приложения:

Ответы

Ответ дал: yarodioxa
0

Ответ:

1вое = 14x в 2ой. 2ое = 51x в 3ей. 3е = x в 6ой

Пошаговое объяснение:

Вас заинтересует