• Предмет: Алгебра
  • Автор: asfullter
  • Вопрос задан 7 лет назад

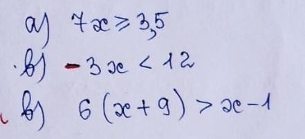
розв'язати нерівності
Алгебра 9 класс​

Приложения:

Ответы

Ответ дал: nikitakusnir369
0

Ответ:

1) x>= 0,5

2) x>-4

3)x>-11


asfullter: а розв'язок?
nikitakusnir369: 1) 7x>=3.5|: 7 x>=0.5 2) -3x<12|: (-3) x>4 3) 6(x+9)>x-1. 6x+54>x-1 відомі в право не відомі в ліво 6x-x>-1-54 5x>-55|: 5 x>-11
nikitakusnir369: Вот
asfullter: спасибо!
Вас заинтересует