• Предмет: Математика
  • Автор: yliabushmakina41808
  • Вопрос задан 7 лет назад

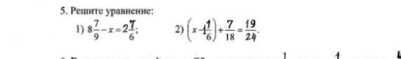
ЛЮДИ ДОБРЫЕ ПОМОГИТЕ ПОЖАЛУЙСТА ДАМ 15 БАЛЛОВ!!!!СРОЧНООООО​

Приложения:

Elena3982: Ваш учитель что-то напортачил с первым уравнением.Я ещё не смотрела второе.)))

Ответы

Ответ дал: sapybekmuhammad192
1

Ответ:

на держи просто начал редко заходить

Пошаговое объяснение:

если не понятно говори можно пожалуйста лучший ответ

Приложения:
Вас заинтересует