• Предмет: Математика
  • Автор: dartar59
  • Вопрос задан 7 лет назад

Помогите решить пж срочно!

Приложения:

Ответы

Ответ дал: maximvlasenko09
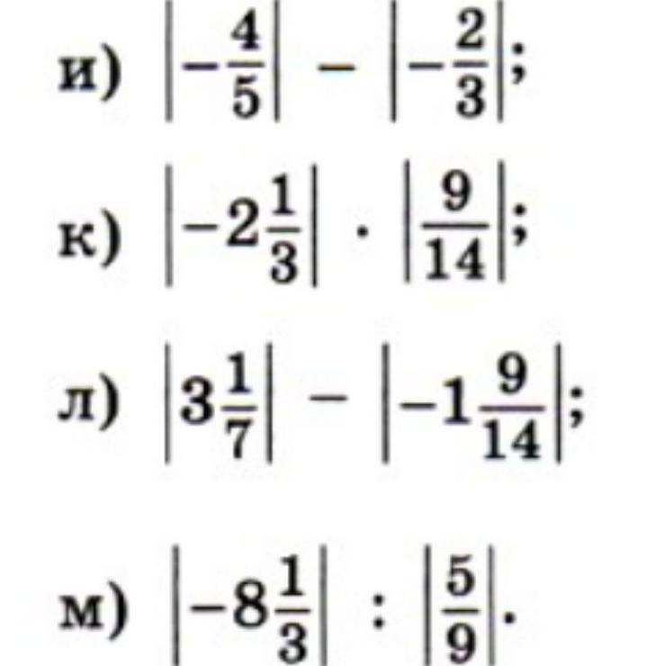
1

Ответ:

Пошаговое объяснение:

- \frac{4}{5} =\frac{4}{5}  \\-\frac{2}{3} =\frac{2}{3} \\\frac{4}{5} -\frac{2}{3} =\frac{2}{15}

(1 пример)

-2\frac{1}{3} =2\frac{1}{3}  =\frac{6}{7} \\\frac{6}{7} *\frac{9}{14} =\frac{27}{49}

(2 пример)

3\frac{1}{7} = \frac{22}{7} \\-1\frac{9}{14} =1\frac{9}{14} \\=\frac{23}{14} \\\frac{22}{7} -\frac{23}{14} =\frac{3}{2}

(3 пример)

-8\frac{1}{3} =8\frac{1}{3} =\frac{25}{3} \\\frac{25}{3} :\frac{5}{9} =\frac{25}{3} *\frac{9}{5} =15.

(4 пример)


maximvlasenko09: там где к примеру -4/5=4/5 это я так написал потому-что -4/5 находится в модуле,а если в модуле то это +
Вас заинтересует