• Предмет: Алгебра
  • Автор: elizavetafedorcenko8
  • Вопрос задан 7 лет назад

СРОЧНО!Піднесіть до степеня:

Приложения:

Ответы

Ответ дал: wieslawlozickip5w1nd
1

Ответ:

Объяснение:

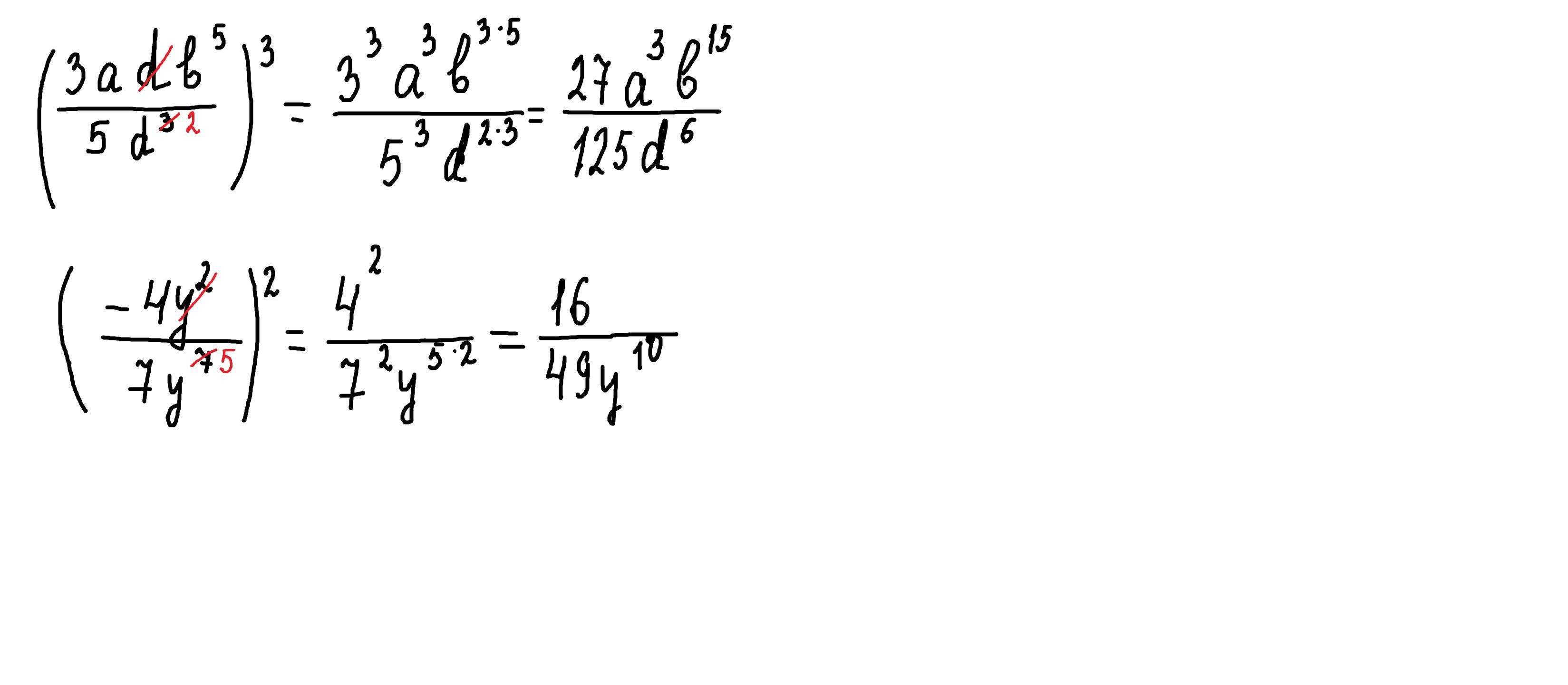
(3adb^5/5d³)³=3³a³d³b^15/5³d^9=3³a³b^15/5³d^9=27a³b^15/125d^6

(-4y²/7y^7)²=(-4/7y^5)²=4²/7²y^10=16/49y^10


parus77: проверьте степень у во 2 примере.
wieslawlozickip5w1nd: Спасибо!
parus77: да не за что.
Ответ дал: parus77
1

Ответ:

Объяснение:

решение внизу

Приложения:
Вас заинтересует