Ответы
Ответ дал:
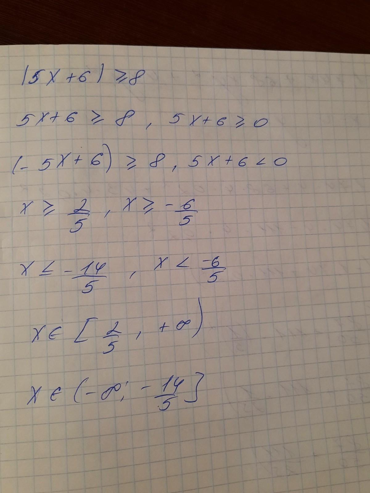
1
Объяснение:
/////////////////\\\\\\\\\\\\\\\\
Приложения:

Ответ дал:
1
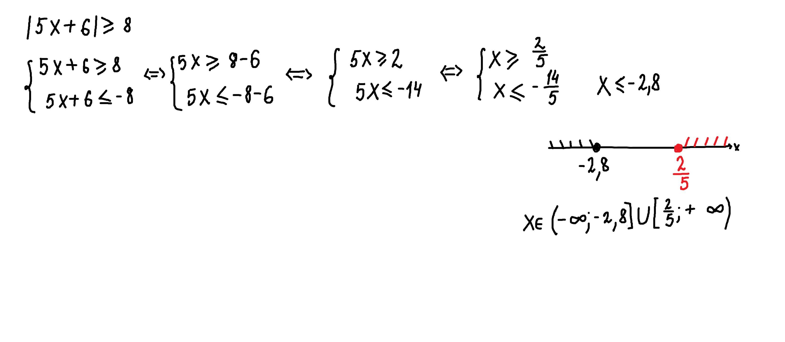
Ответ:
х∈(-∞; -2,8] ∪ [ 2\5;+∞)
Объяснение:
Приложения:

Вас заинтересует
2 года назад
3 года назад
8 лет назад
8 лет назад
9 лет назад