• Предмет: Алгебра
  • Автор: Аноним
  • Вопрос задан 8 лет назад

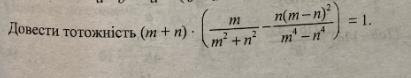
помогите пожалуйста как можно быстрее даю 100 балов!

Приложения:

Ответы

Ответ дал: Anastasialovin
1

Ответ:

ответ на фотографии)

Объяснение:

Приложения:
Вас заинтересует