• Предмет: Математика
  • Автор: mikayilmemedzade472
  • Вопрос задан 7 лет назад

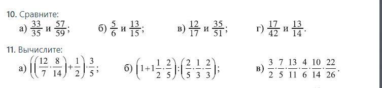
помогите решить пжпжпж

Приложения:

Ответы

Ответ дал: cipalino
0

Ответ:

11) а) 87/98

б) 18

в)1

1вое хз

Вас заинтересует